CAS No. 20592-85-2
Molecular Formula: C3H8NO9P3Na4
Molecular weight: 387
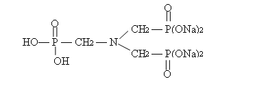
Structural Formula:

Properties:
ATMP•Na4 is the salt of
ATMP,
it can inhibit the scale formation, calcium carbonate in
particular, in water system.
ATMP•Na4
can be used in circulating cool system in power plant, oil
refinery plant and oilfield refill water system.
ATMP•Na4 has good synergistic
effects with other additives, in neutral to acidic
condition, no ammonia smell is let off.
Specification:
| items |
index |
| Appearance |
Colorless or light yellow transparent liquid |
| Active content (ATMP)%
|
29.4-32.4 |
| Active content (ATMP•Na4)
% |
38.0-42.0 |
| PH (1% water
solution) |
6.5-7.5 |
| Fe,mg/L |
35
max |
| Density (20℃) g/cm3 |
1.35-1.45 |
Usage:
ATMP•Na4
is used together with other organophosphonic acid,
polycarboxylic acid or salt to form organic alkaline agents,
it is used in circulating cool water system for all water
quality.
Package and Storage:
200L plastic drum,IBC(1000L),customers’ requirement. Storage for ten months in shady room and dry place.